内容をスキップ
Daisuke Enoki
Profile
Contact
Photography
Text
Instagram
Daisuke Enoki
Main Menu
Profile
Contact
Photography
Text
Instagram
IMG_1586.PNG
By
Daisuke Enoki
/
2020年11月15日
Post navigation
前
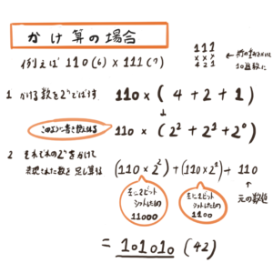
シフト演算と2進数のかけ算とわり算について
上部へスクロール